Haploidentical related donor transplantation with PTCY has expanded the donor availability and made it feasible for most patients with high risk hematologic malignancies to receive a curative transplantation. Haplo with PTCY carries similar disease control and lower incidences of GVHD compared to matched donors using calcineurin inhibitor based GVHD prophylaxis. Chronic GVHD among transplant patients who are one-year survivors after matched related or unrelated allogeneic transplantation was shown to be associated with higher non relapse mortality and worse overall survival 1 . The impact of clinically significant chronic GVHD requiring immunosuppression (IS) on haplo recipients with PTCY who have survived one-year post-transplant has not been studied and is being assessed in this analysis.
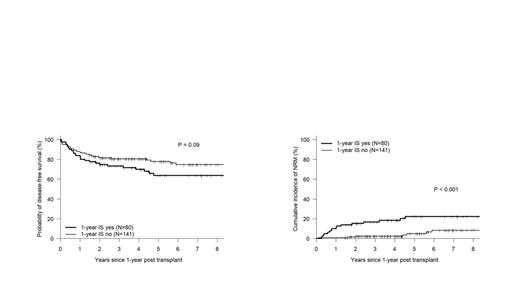
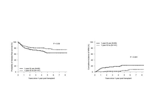
A total of 322 consecutive adult patients who received haplo transplant with PTCY at our center were included in this study. Two hundred and forty-nine survived first year post-transplant and were included in the primary analysis for predictors of being immunosuppression (IS) free at one year. Two hundred and twenty-one patients were free of relapse at 1-year post haplo and were included in the analyzing the effect of IS free status on non-relapse mortality (NRM), progression free survival (PFS), Relapse and overall survival (OS). Median follow up for survivors was 63.9 months (18.3-165). Patient, disease, and transplant related characteristics were retrieved from our database where they have been prospectively entered. All patient received standard GVHD prophylaxis of PTCY, Mycophenolate (stop day +35) and Tacrolimus through day 180. A total of 163 patients (65%) were IS free at one-year post haplo. Patients' characteristics were as follows: median age 48 (19,80) years, male sex 56%, Race (white 61%, black 34%), most common diagnosis ( AML/MDS 55%), comorbidity index HCT-CI ≥3 52%, cell source (PBSC 81%), and myeloablative intensity (49%). Both groups IS free and still on IS had similar baseline characteristics except for higher female-male donor (28% vs 15 %, P=0.03) and female donors (48% vs 30%, p=0.008) for patients on IS at 1-year. Logistic regression to identify patients more likely to be on IS at 1-year post Haplo showed that female donor sex to be a significant risk (OR 2.11, CI 1.21-3.69, p=0.009). In a Cox analysis on the effects of IS on transplant outcomes, being on IS at 1-year had no impact on OS (HR 1.44, CI 0.90-2.31, p=0.13) or relapse (HR 0.77, CI 0.37-1.61, p=0.49) but a significantly higher NRM ( HR 4.18, CI 1.80-6.72, p<0.001) and a trend towards worse PFS (HR 1.59, CI .95-2.66, p=0.08).
These results indicate that female donors are significant risk factor for requiring IS at one-year post haplo with PTCY. Additionally, clinically significant chronic GVHD requiring IS at one-year post haplo with PTCY has no significant effect on relapse but is associated with higher NRM and a trend towards worse PFS. These results can be used to inform appropriate donor selection to avoid late complications among haplo recipients.
Disclosures
Solh:Bristol-Myers Squibb: Speakers Bureau.

This feature is available to Subscribers Only
Sign In or Create an Account Close Modal